우노
[Github] git pull error (merge, rebase, fast-forward) 본문
git pull error
힌트: You have divergent branches and need to specify how to reconcile them.
힌트: You can do so by running one of the following commands sometime before
힌트: your next pull:
힌트:
힌트: git config pull.rebase false # merge
힌트: git config pull.rebase true # rebase
힌트: git config pull.ff only # fast-forward only
힌트:
힌트: You can replace "git config" with "git config --global" to set a default
힌트: preference for all repositories. You can also pass --rebase, --no-rebase,
힌트: or --ff-only on the command line to override the configured default per
힌트: invocation.
fatal: Need to specify how to reconcile divergent branches.
- git pull 시, 위와 같은 에러가 발생할 수 있습니다.
- 해당 에러는, pull 방식을 명시적으로 정하지 않았기 때문에 발생하는 에러입니다.
- pull 방식으로는 merge, rebase, fast-forward 방법이 있으며,
- 해당 포스트에선 각각의 방법에 대해서 다뤄보겠습니다.
merge (default)
Local Feature에서 작업을 하는 도중, 다른 누군가가 Remote Main에 새로운 commit을 만들었다고 가정해봅시다.

이때 만약, Local Feature에서 Remote Main을 pull한다면,
merge 방식의 경우, Local Feature에 추가적인 merge commit을 생성하게 됩니다.

아래는 merge 방식 적용 코드 입니다.
# 해당 repo에만 적용 git config pull.rebase false # 모든 repo에 적용 git config --global pull.rebase false
rebase
Local Feature에서 작업을 하는 도중, 다른 누군가가 Remote Main에 새로운 commit을 만들었다고 가정해봅시다.

이때 만약, Local Feature에서 Remote Main을 pull한다면,
rebase 방식의 경우, Local Feature에 추가적인 merge commit을 생성하지 않고,
Remote Main commit에 Local Feature의 commit을 연결합니다.

아래는 rebase 방식 적용 코드 입니다.
# 해당 repo에만 적용 git config pull.rebase true # 모든 repo에 적용 git config --global pull.rebase true
fast-forward
현재 브랜치랑 병합할 브랜치가 fast-forward일 경우에만 Pull이 가능한 방식입니다.
- 분기한 브랜치의 커밋 히스토리가 기존 브랜치의 커밋 히스토리를 포함하고 있다면 fast-forward 관계입니다.
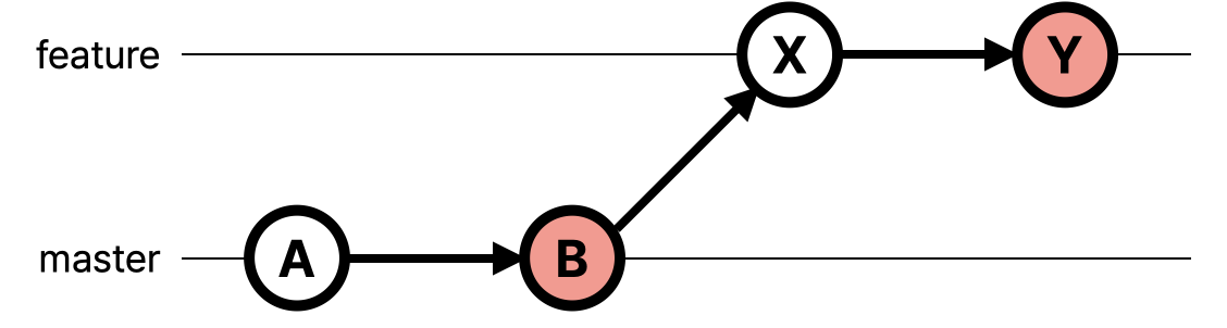
fast-forward 관계 (O)

master에서 feature로 분기된 브랜치의 커밋 히스토리는 A-B-X-Y입니다.
그리고 기존 브랜치인 master의 커밋 히스토리는 A-B입니다.
따라서, 분기된 브랜치인 feature의 히스토리는 기존 master 브랜치의 히스토리를 포함하고 있으므로,이는 Fast-Forward 관계입니다.

이런 관계에서 master 브랜치에서 git merge [feature브랜치명]을 실행한다면,
merge에 대한 새로운 commit이 생기지 않고 HEAD의 위치만 변하게 됩니다.
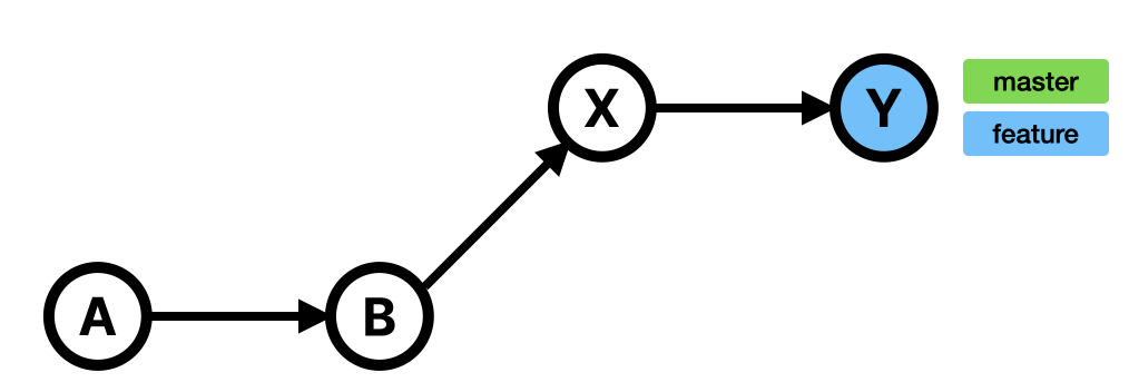
fast-forward 관계 (X)

분기된 feature 브랜치의 커밋 히스토리는 A-B-X-Y입니다.
그리고 기존 브랜치인 master의 커밋 히스토리는 A-B-C입니다.
feature의 히스토리가 master의 히스토리를 모두 담고 있지 않습니다.

이런 경우에, master 브랜치에서 git merge [feature브랜치명]을 실행한다면,
merge에 대한 새로운 commit이 생기게 됩니다.
아래는 fast-forward 방식 적용 코드 입니다.
# 해당 repo에만 적용 git config pull.ff only # 모든 repo에 적용 git config --global pull.ff only
결론
- merge
- merge commit 생성됨
- rebase
- merge commit 생성되지 않음
- ff
- 현재 브랜치랑 병합할 브랜치가 fast-forward일 경우에만 Pull 허용함
참고
- https://eocoding.tistory.com/m/108
- https://synapsis9.tistory.com/entry/git-pull-경고없애기-Pulling-without-specifying-how-to-reconcile-divergent-branches-is-discouraged
- https://nakyungim.tistory.com/entry/Github-merge-후-push가-안될-때-git-pull-rebase
- https://velog.io/@yunu/git-pull-할-때-fatal-Need-to-specify-how-to-reconcile-divergent-branches.-오류
- https://velog.io/@eunddodi/git-pull-시-발생하는-warning-해결하기Need-to-specify-how-to-reconcile-divergent-branches
- https://thalals.tistory.com/320
- https://sanghye.tistory.com/43
'DevOps > GitHub' 카테고리의 다른 글
| [Github Actions] Branch Merge 시 Tag/Release 자동 생성 (0) | 2023.03.08 |
|---|---|
| [Github Actions] Secrets으로 환경변수 사용 (0) | 2023.03.08 |
| [Github] 특정 branch clone (0) | 2023.02.16 |
| [Github] 커밋&푸쉬 기록 삭제 (2) | 2023.01.12 |
| [GitHub] Pull Request 충돌 해결하기 (0) | 2022.06.15 |