우노
[BFS] 이코테 “특정 거리의 도시 찾기” Python 풀이 본문
문제
어떤 나라에는 1번부터 N번까지의 도시와 M개의 단방향 도로가 존재한다.
모든 도로의 거리는 1이다.
이 때 특정한 도시 X로부터 출발하여 도달할 수 있는 모든 도시 중에서, 최단 거리가 정확히 K인 모든 도시들의 번호를 출력하는 프로그램을 작성하시오.
또한 출발 도시 X에서 출발 도시 X로 가는 최단 거리는 항상 0이라고 가정한다.
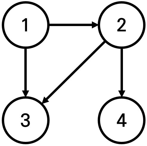
예를 들어 N=4, K=2, X=1일 때 다음과 같이 그래프가 구성되어 있다고 가정하자.

이 때 1번 도시에서 출발하여 도달할 수 있는 도시 중에서, 최단 거리가 2인 도시는 4번 도시 뿐이다.
2번과 3번 도시의 경우, 최단 거리가 1이기 때문에 출력하지 않는다.
입력 조건
- 첫째 줄에 도시의 개수 N, 도로의 개수 M, 거리 정보 K, 출발 도시의 번호 X가 주어진다. (2 ≤ N ≤ 300,000, 1 ≤ M ≤ 1,000,000, 1 ≤ K ≤ 300,000, 1 ≤ X ≤ N)
- 둘째 줄부터 M개의 줄에 걸쳐서 두 개의 자연수 A, B가 공백을 기준으로 구분되어 주어진다.
- 이는 A번 도시에서 B번 도시로 이동하는 단방향 도로가 존재한다는 의미다. (1 ≤ A, B ≤ N)
- 단, A와 B는 서로 다른 자연수이다.
출력 조건
- X로부터 출발하여 도달할 수 있는 도시 중에서, 최단 거리가 K인 모든 도시의 번호를 한 줄에 하나씩 오름차순으로 출력한다.
- 이 때 도달할 수 있는 도시 중에서, 최단 거리가 K인 도시가 하나도 존재하지 않으면 -1을 출력한다.
입력 예시
4 4 2 1
1 2
1 3
2 3
2 4
4 3 2 1
1 2
1 3
1 4
4 4 1 1
1 2
1 3
2 3
2 4
출력 예시
4
-1
2
3
풀이
- 그래프에서 모든 간선의 비용이 동일할 때는 너비 우선 탐색을 사용하여 최단 거리를 찾을 수 있다.
- 특정한 도시 X로부터 BFS로 탐색을 시작하며, 모든 도시까지의 거리를 별도의 1차원 배열에 저장한다.
- 탐색 이후, 1차원 배열에서 거리가 K인걸 도시를 오름차순 출력한다.
예제 코드
# https://www.acmicpc.net/problem/18352
import sys
from collections import deque
# 도시의 개수 N, 도로의 개수 M, 거리 정보 K, 출발 도시의 번호 X
n, m, k, x = map(int, sys.stdin.readline().split())
# 도시 생성
city = [[] for _ in range(n+1)]
# 최단 거리를 저장하기 위한 1차원 배열 생성
short_path = [-1]*(n+1)
# x의 거리는 0으로 지정
short_path[x] = 0
# 도로 입력 받기
for _ in range(m):
i, j = map(int, sys.stdin.readline().split())
city[i].append(j)
# BFS를 위한 큐 생성
q = deque()
# x부터 BFS 탐색 시작
def solution(x):
# x를 큐에 삽입
q.append(x)
while (q):
# 큐에서 원소 추출
now = q.popleft()
# 추출 도시의 이웃 도시 탐색
for neighbor in city[now]:
# 아직 방문하지 않은 도시라면
if (short_path[neighbor] == -1):
# 최단 거리 업데이트
# 방문한 도시는 무조건 최단 거리이므로, 방문하지 않은 도시에 대해서만 업데이트하면 됨
short_path[neighbor] = short_path[now] + 1
# 큐에 이웃 도시 추가
q.append(neighbor)
# 최단 거리 리스트에서, 거리가 k인 도시를 오름차순 출력
# 숫자가 작은 도시부터 탐색하므로, 추가적인 정렬은 필요 없음
find = False
for i in range(1, len(short_path)):
if (short_path[i] == k):
print(i)
find = True
# 만약 최단 거리가 k인 도시가 없다면, -1 출력
if (find == False):
print(-1)
# 함수 호출
solution(x)
참고
- 이것이 취업을 위한 코딩 테스트다. with python
'Algorithm > BFS' 카테고리의 다른 글
| [BFS] 이코테 “경쟁적 전염” Python 풀이 (0) | 2022.09.11 |
|---|---|
| [BFS] 이코테 “연구소” Python 풀이 (0) | 2022.09.08 |
| [BFS] 이코테 “미로 탈출” Python 풀이 (0) | 2022.06.05 |
| [BFS] 백준 3055번 “탈출” C++ 풀이 (0) | 2022.01.22 |
| [BFS] 백준 2178번 “미로 탐색” C++ 풀이 (4) | 2022.01.18 |
Comments